13 年
手机商铺
公司新闻/正文
1107 人阅读发布时间:2021-06-08 13:32

发表期刊:SCIENCE ADVANCES
发表时间:2021 January
影响因子:13.116
合作客户:陆军军医大学
百趣生物提供服务:中心碳代谢高通量靶标定量
急性髓系白血病(Acute myeloid leukemia, AML)是一种致死性恶性肿瘤,由造血系统的髓系原始细胞恶性增殖并干扰正常血细胞生成导致,患者临床表现为贫血、出血、感染、发热、脏器浸润和代谢异常等。AML的病情发展迅速,如不及时治疗,患者可能在数月甚至数周内死亡;而更为棘手的是AML有几率在治疗后再次发作。目前治疗AML的最大挑战在于缺乏靶向定位显示和杀伤异质性白血病细胞的手段,治疗后残留的白血病细胞再次增殖从而导致AML复发。
近年来肿瘤细胞发生发展过程的相关研究给予了治疗AML非常重要的提示。糖酵解代谢通路的特异性增强,甚至在有氧环境中仍然倾向无氧糖酵解代谢是肿瘤细胞的重要标志之一。白血病细胞也属于肿瘤细胞,同样遵循相同的规律,因此过于活跃的糖酵解代谢是定位和治疗AML的常规突破点。
早期的研究策略集中于抑制糖酵解,但是糖酵解抑制剂在治疗AML上并没有获得令人满意的效果。随后的研究发现,一些类型的肿瘤比如脑癌和AML,除了糖酵解外,还能依靠于线粒体特有的氧化磷酸化(oxidative phosphorylation,OXPHOS)来维持生物能量和生物合成的进程。特别是抵抗化疗后的残存白血病细胞,普遍地表现出线粒体体积增大,保持线粒体极化状态等现象,更加依赖线粒体氧化磷酸化并籍此生存。因此突破治疗AML的重点更倾向于针对白血病细胞线粒体的氧化磷酸化。
数种治疗策略,比如抑制线粒体蛋白合成或抑制线粒体电子传递链,在治疗AML中都表现出很好的潜力。然而线粒体是细胞代谢的重心,由于涉及生物能量和生物合成的进程,包括白血病细胞,几乎所有类型的细胞(正常细胞)也都依赖于线粒体的完整性和各项功能。现有的氧化磷酸化抑制剂在抗肿瘤治疗的应用中不仅限制对肿瘤细胞线粒体机能的理解,而且存在缺乏对肿瘤细胞的靶向定位,在肿瘤细胞中无法积累到有效治疗浓度等问题。抑制剂不能靶向定位还会产生严重的副作用,比如神经毒性、恶心呕吐等症状。
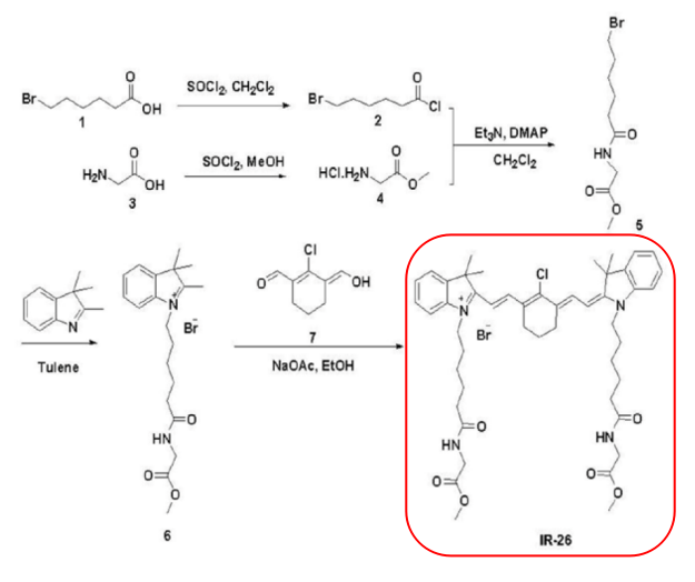
针对上述问题,现阶段的策略在于同时提升药剂对肿瘤细胞靶向定位的能力和对肿瘤细胞线粒体氧化磷酸化抑制的能力。陆军军医大学史春梦课题组之前已经在这一领域取得了可喜的研究成果,合成了能够靶向定位实体肿瘤线粒体的七甲川花菁类近红外荧光小分子化合物(heptamethine cyanine dyes,HCD)。承接这一思路,为了能够更好的针对白血病细胞,本文作者在HCD的基础上增加了水溶性氨基酸基团,设计出集靶向定位、成像检测和治疗于一身新化合物IR-26(图一)。
和之前HCD在实体肿瘤线粒体的特异选择性积累一致,新设计的IR-26在白血病细胞中也保持了这一特性。水溶性的IR-26的重大改进在于避免分子间氢键的形成,减少J聚集体的形成和血蛋白的结合率,更有利于靶向定位白血病细胞。IR-26保留了近红外荧光的功能,吸收和发生峰在700-900nm之间。这个波段的近红外线对组织具有高穿透性和低背景的自体荧光干扰,十分有利于成像。基于上述优点,IR-26能在活体检测中应用流式细胞仪动态检测循环肿瘤细胞,这对于持续监测疾病发生,治疗响应和疾病复发有重要的意义。

图一 七甲川花菁类近红外荧光小分子化合物IR-26合成路线及结构
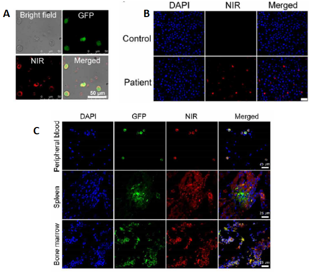
为了研究IR-26的靶向定位和成像能力,外周血单个核细胞(PBMCs)和白血病细胞HL-60被分别和IR-26孵育,发现IR-26优先被白血病细胞吸收(图二A)。白血病细胞的其它种类细胞系如NB4和THP-1相比PBMCs也会优先吸收IR-26(图二B)。而在活体实验中,无胸腺裸鼠(GFP标记HL-60肿瘤细胞实体肿瘤),对其静脉注射0.2 mg/kg的IR-26, 成像结果表明,IR-26的成像非常清晰,与GFP成像结果一致而荧光背景更低(图二 C)。

图二 IR-26在体外和活体中的靶向定位和成像
A PBMC和HL-60吸收IR-26后荧光强度(吸收越多,荧光越强);B PBMC和多种白血病细胞吸收IR-26后共聚焦成像照片;C 无胸腺裸鼠诱导GFP标记HL-60细胞肿瘤,注射IR-26后的彩照,NIR荧光成像,GFP荧光成像和X光成像。
为进一步调查IR-26在外周血中对白血病细胞的靶向定位能力,外周血单个核细胞(PBMCs)和预先构建好的GFP标记HL-60细胞被混合到一起来模拟复杂的外周血组分,同时加入5μM IR-26在37℃ 孵育。结果显示IR-26能够清晰显示标记的HL-60细胞(图三A)。而在白血病患者和健康志愿者的外周血比对中,IR-26也能够清晰地识别患者血液中的白血病细胞(图三B)。此外,还将GFP标记HL-60细胞注入辐照处理后的C57BL/6 小鼠体内建立AML模型,培养20天后将模型进行冰冻切片观察,发现HL-60细胞除在外周血分布外,还会侵入脾脏和骨髓,而IR-26对所有位置的白血病细胞均能清晰成像(图三 C)。

图三 IR-26在混合细胞、AML患者/健康志愿者和小鼠模型中对白血病细胞的定位和成像
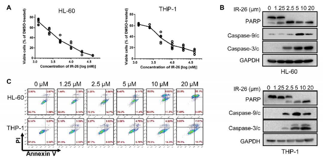
在选择性杀死白血病细胞方面,IR-26也有优异的表现,对于AML的两类细胞HL-60和THP-1的半抑制率(IC50)在2.629 和2.351μM(图四 A)。免疫印迹(图四 B)和双荧光标记(图四 C)结果均显示IR-26能够有效地引导白血病细胞发生细胞凋亡。
图四 IR-26对AML细胞的抑制率、免疫印迹和双荧光标记
正常造血干细胞(HSCs)和白血病细胞(HL-60)加入不同浓度IR-26后,对比细胞存活率,IR-26能够对白血病细胞进行专一杀伤,即使是在对HL-60有高杀伤率的较高浓度时,对正常细胞损害也很小(图五)。

图五 造血干细胞(HSCs)和白血病细胞(HL-60)在不同浓度IR-26下细胞存活率
在小鼠活体模型方面,构建了两个模型来测试IR-26的有效性。第一个模型通过在裸鼠皮下注射HL-60细胞产生实体肿瘤,当肿瘤达到一定大小后,将裸鼠随机分为3组,分别腹腔注射PBS、阿糖胞苷和IR-26。结果显示IR-26对于实体肿瘤的抑制作用显著强于PBS组和阿糖胞苷组(图六)。

图六 小鼠肿瘤模型中 IR-26与PBS、阿糖胞苷对肿瘤大小(A)和质量(B)的抑制作用
第二个模型采用了非肥胖糖尿病/免疫缺陷(NOD/SCID)小鼠,通过尾部静脉注射标记了GFP的人源AML细胞 HL-60来构建常规白血病模型(非实体肿瘤)。移植AML细胞后一周,小鼠分别注射5次阿糖胞苷或IR-26,25天后解剖小鼠并观察器官。结果显示对照组和阿糖胞苷组的小鼠各个器官都被白血病细胞侵入,呈现强GFP荧光,而IR-26治疗的小鼠,其器官几乎没有GFP标记HL-60细胞的绿色荧光(图七A)。此外,IR-26治疗的小鼠,其生存时间也显著长于对照组或者阿糖胞苷组(图七B)。

图七 AML模型的不同治疗对于白血病细胞侵入器官的效果和小鼠治疗后的生存时间
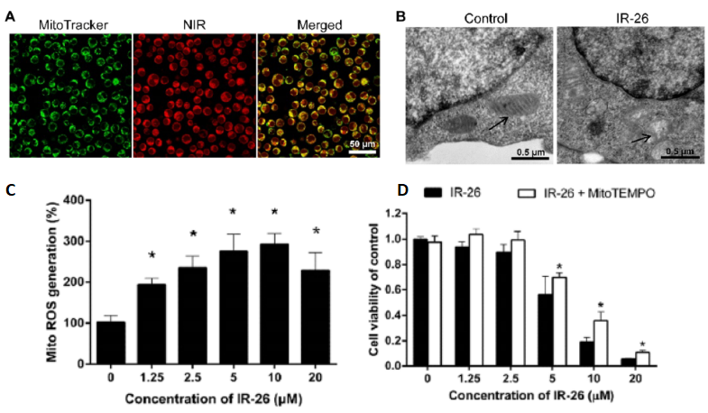
对于IR-26阻断线粒体功能的机制,本文也进行了探索。通过比对线粒体特异染料Mito Tracker 和IR-26的红外荧光成像,证实IR-26的亚细胞定位为细胞线粒体(图八A)。在线粒体吸收IR-26后,会导致线粒体肿胀并形成空泡(图八B)。随后的实验发现,IR-26所在的线粒体会显著产生高含量活性氧(ROS)(图八C),而加入线粒体靶向超氧化物歧化酶(MitoTEMPO)后,可以在一定范围内逆转IR-26导致的ROS产生和细胞凋亡(图八D)。

图八 IR-26的亚细胞定位、线粒体形态、ROS含量和清除ROS后的细胞生存率
对于ROS的产生,更深入的机制则涉及线粒体的TCA循环和呼吸电子传递链。文中也对这两个部分进行了探索。对于TCA循环,发现在IR-26在5-10μM的浓度下,电子传递链的复合物II的底物琥珀酸浓度会显著上升,而下游代谢物延胡索酸和苹果酸的浓度则显著下降(图九 A)。而使用氧化磷酸化试剂盒证实了TAC循环的代谢变化确实是由于电子传递链的复合物II和V受到抑制导致的(图九 B)。从线粒体组分来看,下拉实验表明IR-26会特异性结合线粒体蛋白ATP5B, SDHA和NDUFS1,最终导致呼吸电子传递链失活。

图九 IR-26的对于TCA循环、呼吸电子传递链和线粒体蛋白的作用
文章实验针对急性髓系白血病的特点设计了靶向成像和治疗一体化的化合物IR-26,该化合物能够靶向定位AML细胞,荧光成像清晰准确。在治疗方面,IR-26可以有效杀伤AML细胞,对正常细胞和治疗个体的副作用很小。治疗机制方面,IR-26通过锚定ETC蛋白、SHDA和ATP5β;抑制电子传递链的复合体II和复合体V进而抑制线粒体氧化磷酸化并产生ROS使得AML细胞发生细胞凋亡。
文献原文下载
链接:https://pan.baidu.com/s/1YngoKCpMlJfT8REw4FhHmg
提取码:n13d
复制这段内容后打开百度网盘手机App,操作更方便哦