最后,每组的分组颜色如果要自由定义设置,那么代码调整如下:
同学们都学会了嘛~?
那么ROC曲线如何绘制呢?
受试者工作特征曲线(receiver operator characteristic curve,ROC曲线),是根据一系列不同的二分类方式,以真阳性率(灵敏度)为纵坐标,假阳性率(1-特异度)为横坐标绘制的曲线。曲线下方的面积被称为AUC,用来预测准确性,AUC值越高,预测准确率越高。ROC分析已广泛应用于临床诊断上,可直观地分析诊断试验的临床准确性,选择最佳指标阈值。
接下来我们分别用R语言和SPSS软件分享如何轻松实现ROC曲线的绘制~
3.Rstudio & pROC包
以113例动脉瘤疾病观察数据集aSAH为例,比较NDKA和S100β两种biomarker 和临床参数WFNS的诊断准确性。采用R中pROC包进行ROC曲线绘制,首先安装并加载pROC包。
导入aSAH数据集并查看表头信息:
用roc()函数建立ROC对象,ci表示95%的置信区间
以S100β标记物为例,绘制单指标ROC曲线,如下图:
酱紫,单指标ROC曲线就完成啦,是不是so easy~
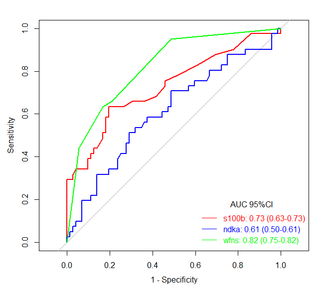
如果需要把多个标记物ROC曲线绘制在一张图中,则只需要逐个添加曲线:

添加图例:


该图清晰的反映出3个标记物的准确性:WFNS > S100β >NDKA
多个标记物的联合ROC曲线又该怎样绘制呢?
联合ROC曲线需要先建立回归模型,然后用回归模型对数据进行预测,最后用预测的数据绘制ROC曲线即可~代码如下:


4.SPSS25.0
采用SPSS 25.0软件,导入数据:
点击“分析”- ROC曲线,然后分别选入检验变量和状态变量。如果是单指标ROC曲线,就把待分析的指标选入检验变量数据框即可,此处以S100β为例:
然后点击确定,单指标ROC分析结果就出来啦,是不是很方便~
若要同时显示多个指标的ROC曲线,则将指标一起调入检验变量中就可以了:
联合ROC曲线的制作和R中一样要先建立回归模型:点击二元Logistic - 设置因变量和协变量 - 点击保存 - 勾选概率预测值
回到表格中,你会发现多了一列PRE_1值,这个值就是回归模型对数据的预测值
然后把PRE_1值作为检验变量,点击确定,想要的ROC结果就出来啦~
在组学分析中,当我们需要将2种数值相差太大的数据绘制在一张图中时,以代谢组学归一化后的数据和蛋白定量数据为例: