13 年
手机商铺
公司新闻/正文
476 人阅读发布时间:2022-02-22 15:42
文章标题:Additives affect the distribution of metabolic profile, microbial communities and antibiotic resistance genes in high-moisture sweet corn kernel silage
发表期刊:Bioresource Technology
影响因子:9.642
百趣生物提供服务:代谢组学+宏基因组
研究背景 BACKGROUND人口增长促进了全球肉类和牛奶消费量增加,养殖所需饲料用量也逐年上升,发酵后的饲料是进行农副产品处理更好的选择。罐头厂每年丢弃大量的破碎甜玉米,颗粒中含有大量的水溶性碳水化合物、淀粉和水分,但高含量的水分制约着青贮品质。一些青贮添加剂,如化学试剂、酶、乳酸菌等微生物可以促进发酵,提高营养价值,改善牲畜健康。虽然已有研究发现添加剂的使用影响青贮饲料中细菌群落的组成和相对丰度,但对青贮中的抗性基因和代谢物的影响研究较少。
本研究基于LC-MS非靶代谢组学和宏基因组技术平台,对四种不同处理的高水分玉米粒青贮(去离子水CK、香兰素V、植物乳杆菌LP和短乳杆菌LB,n = 6/组)进行研究,并发现不同添加剂对青贮的代谢物、微生物群落、病毒和抗生素抗性基因分布均有一定的影响。
结果 RESULT 1 添加剂对微生物群落的影响对甜玉米青贮饲料表面微生物和内部微生物都进行了宏基因组测序。发现添加剂显著影响青贮饲料中的微生物组成。
甜玉米粒青贮的界、门、属和种水平的微生物群落如图1所示。除了已知的细菌和真菌外,青贮饲料中还存在各种病毒和古菌。香兰素处理青贮样品中病毒的比例最高(2.7%),LP、LB和对照处理青贮样品中病毒的比例分别为1.3%、1.2%和1.5%。

在门水平上,所有组中的优势微生物均为厚壁菌门(>76%)、变形菌门(>2%)和子囊菌门(>1.7%)。V组青贮中变形菌门丰度最高(9.2%),其次是LP处理青贮(8.4%)、LB处理青贮(5.4%)和对照处理青贮(2.0%)。不同处理对子囊菌的丰度有显著影响,LB组子囊菌丰度最高(5.5%),LP、V和对照组次之。其他微生物在门水平上的丰度均小于0.1% 。
LEfSe分析的结果中可以得出不同处理之间的类群存在差异(图2)。CK、LP、LB和V处理在纲、目、科、属和种水平上显著影响了青贮的微生物组成。添加剂处理青贮料与对照处理青贮料微生物组成的差异可能与添加剂的抑菌机理不同有关。
此外,添加剂的加入对复制、重组和转运相关的基因,碳水化合物转运和代谢,乙酰基转移酶等代谢通路有一定影响。

图2
2 添加剂对抗生素耐药性(ARO)的影响

图3
ARO基因分布如图3所示。ARO致病率高的3个基因为tetW.N.W, tetT和tetA46,所有这些都与四环素类抗生素药物有关。tlrC基因与大环内酯类抗生素类药物有关。
在V处理青贮中发现了与大环内酯类抗生素、林可酰胺类生素和链霉素类抗生素相关的erm41。由此可见,甜玉米籽粒青贮中的耐药基因主要是对四环素和大环内酯类抗生素产生耐药性的基因。
不同处理青贮料中ARO基因的相对含量和数量存在差异。青贮饲料中共检测到135个ARO基因。LB处理青贮饲料中含有116个ARO基因,在4个处理中含量最低;V处理青贮饲料中含有129个ARO基因,在4个处理中含量最高。
由此可见,青贮饲料中添加的抗微生物化合物和微生物产生的次生代谢产物都对ARO的耐药菌组成和最终含量产生影响。虽然发酵特性表明V是一种很有前景的青贮添加剂,但它的应用可能会导致ARO在食用青贮饲料的动物肠道中传播。
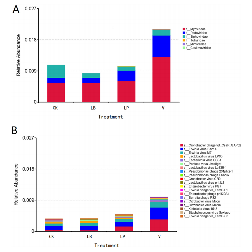
3 添加剂对病毒的影响
图4
添加剂对相对病毒含量有显著影响(p=0.032)。而CK、LB和LP处理青贮的相对病毒含量差异不显著,LP处理青贮的病毒含量最低,V处理青贮的病毒相对丰度最高。科水平上,不同添加剂处理青贮病毒相对含量不同(图4a)。添加剂对物种水平上的病毒相对丰度也有显著影响(图4b)。与对照相比,V、LP和LB处理青贮的乳酸菌病毒丰度较低。此外,青贮中的40个显著属中有Ea214病毒、Phieco32病毒、Cr3病毒、T7病毒、Moon病毒、Cr3病毒、Phikm病毒和Phikz病毒,说明青贮中的病毒主要为微生物病毒或噬菌体。细菌是微生物噬菌体或病毒的宿主,微生物群落和组成的多样性也可能影响噬菌体的组成。本文是首次发现青贮中病毒的差异;对于病毒是如何影响青贮中的微生物群落的未进行深入研究。但初步确定病毒通过传播毒力因子和抗生素抗性基因提高毒力/抗性性状的表达。因此,高病毒含量可能是V处理青贮饲料中ARO基因丰度升高的另一个相关因素。
4 添加剂对代谢物的影响表1 添加剂加入对青贮代谢物的影响

LB和LP处理青贮的代谢物的含量分别高于对照组青贮的含量。此外,与对照组青贮相比,V处理增加了93个代谢物的含量,降低了139个化合物的含量,而LP和LB处理分别降低了14和16个代谢物的含量。在青贮35天后,V处理的青贮样品比对照处理的青贮样品检测到更多的肉桂酸及其衍生物 (表1)。
V处理青贮饲料中木素酰胺含量较高,LP处理青贮饲料中木素酰胺含量较低。在V处理青贮中抗真菌代谢物显著高于对照青贮。与对照组比,信号分子cyclo (Pro-Leu)的含量在LP组和LB组中上调, 在V组中下调。
V处理青贮料中cyclo(Val-Pro)和cyclo(Pro-Leu)含量显著低于对照处理青贮料。在青贮饲料中发现了表皮生长因子受体激酶抑制剂RG-13022,也发现了抗菌代谢物,如乳酸,其含量的增加会降低pH值,从而抑制霉菌、酵母和其他有害微生物的生长。
结论 COUCLUSION本文首次发现青贮饲料中存在细菌、真核生物、病毒、古细菌和其他生物,同时通过宏基因组学和代谢组学研究发现青贮过程中存在复杂的抑菌机制,发现青贮中添加LB可在一定程度上降低病毒存活和ARO传播风险;为青贮饲料添加剂的选择和青贮饲料安全性评价提供了新思路。
文献下载链接:
https://pan.baidu.com/s/1MNNseWO1cwj744gjnszcXw
提取码:KA89