13 年
手机商铺
公司新闻/正文
650 人阅读发布时间:2023-06-05 15:13

发表期刊:Journal of Ethnopharmacology
影响因子:5.195
作者单位:山西中医药大学
百趣提供服务:粪便16S rRNA菌群测序分析
百趣代谢组学分享-研究背景
代谢组学分享,记忆障碍(Memory disorder, MD)是一种常见的临床症状,主要指由病理生理或情境原因产生的永.久性或暂时性信息识别能力丧失。目前,开发能够帮助改善记忆或认知的新药是医学和社会的共同需要。在临床实践中,一些单靶点化疗药物难以适应不同类型的MD,且许多治疗药物往往存在药物依赖、戒断反弹高、副作用严重等缺陷。
中医作为一种补充和替代医学,对MD具有较好的预防和治疗效果,具有综合和综合治疗优势。远志散是一种常用的中药复方,具有增强记忆和学习的功效。早期研究表明党参远志散(Dangshen Yuanzhi Powder, DYP)可提高MD动物的学习记忆能力,且其疗效优于或相当于使用人参(Ginseng Radix Et Rhizoma, GRR)远志散。
为揭示肠道菌群在DYP治疗MD中的作用,按每组12只大鼠,分为对照组(control)、MD组(Model)、吡拉西坦组(Piracetam)、DYP低剂量处理组(DYP low dose treatment group, DYP-L)和DYP高剂量处理组(DYP high dose treatment group, DYP-H)。除对照组外,其余各组大鼠均腹腔注射400mg/kg的D-半乳糖(D-Galactose, D-Gal),并灌喂氯.化.铝(200mg/kg),连续50天。
从第15天开始,DYP组大鼠灌胃不同剂量的DYP(低剂量:6.67g/kg,高剂量:13.34g/kg),吡拉西坦组给药吡拉西坦片混悬液0.5g/kg,模型组及对照组在实验期间用相同体积的生理盐水处理。代谢组学分享,通过“菌-肠-脑”轴探讨DYP的调控机制,探索DYP治疗MD的相关肠道菌群调节途径,对大鼠肠道菌群进行16S rRNA高通量测序,以评估DYP对肠道菌群的影响。此外,利用KEGG数据库对肠道菌群的功能进行预测,分析DYP对MD的潜在作用机制,为进一步阐明DYP的作用机制提供了更多的理论依据。
百趣代谢组学分享-研究结果
01 血清中DYP成分的鉴定与分析
对党参远志散入血成分进行了鉴定。经标准品鉴定为3,6'-二芥子酰基蔗糖、β-细辛醚、小檗碱、巴马汀和苦参碱。
02 DYP对大鼠体重的影响
在实验过程中,各组大鼠的体重都有不同程度的增加趋势。代谢组学分享,DYP组大鼠体重变化趋势相同,实验前期体重保持稳定,无明显变化,后期体重上升趋势与对照组相同。吡拉西坦组大鼠体重在实验前半段呈下降趋势,后半段与对照组一样呈上升趋势。

图1. DYP对MD大鼠体重的影响
03 大鼠趋向实验结果
训练后各组大鼠的逃避潜伏期逐渐降低(图2A),DYP能显著增加大鼠在平台内的停留时间、进入平台的次数和在平台内的运动距离(图2B-D),DYP–H组的药效学效果更为显著,上述三个指标的增长率分别为27%、58%和60%。图2E显示,D-Gal和三氯.化.铝诱导MD后,MD大鼠在探索平台时表现出明显的边缘搜索策略,搜索能力较差,认知障碍明显。

图2. Morris Water Maze Test评价指标
04 DYP对血清中相关酶表达的影响
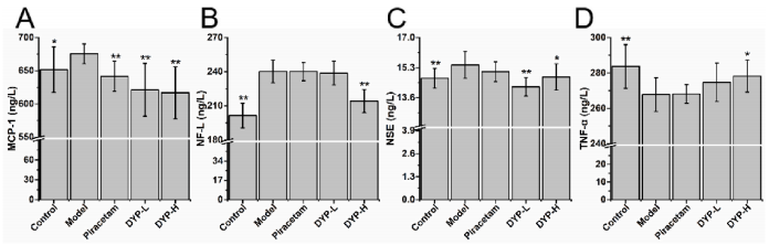
与对照组相比,MD大鼠血清中单核细胞趋化蛋白-1(monocyte chemoattractant protein-1, MCP-1)、神经丝轻链蛋白(neurofilament light chain protein, NF-L)、神经元特异性烯醇化酶(neuron-specific enolase, NSE)表达明显增加,表明存在MD(图3A-C)。代谢组学分享,图D表明,与对照组相比,MD大鼠血清中肿瘤坏死因子-α(the tumor necrosis factor-α,TNF-α)的表达显著降低。DYP- H组可显著提高MD大鼠的TNF-α水平,且疗效优于DYP- L组和吡拉西坦组,表明DYP可通过调节血清中MCP-1、NF-L、NSE、TNF-α的表达来改善记忆障碍大鼠的学习记忆能力。

图3. DYP对MD大鼠血清中MCP-1、NF-L、NSE、TNF-α表达量的影响
05 十二指肠和结肠组织的病理学分析
各组大鼠十二指肠和结肠组织的组织病理学检查结果显示,对照组未见明显病理变化。代谢组学分享,与对照组相比,MD大鼠十二指肠和结肠黏膜损伤,出现绒毛短宽、隐窝加深、结构不完整断裂、脱落等病理改变。与模型组比较,各组大鼠给药后均表现出不同程度的恢复,十二指肠和结肠黏膜结构相对完整,绒毛长度增加,隐窝变浅。不同剂量DYP对大鼠十二指肠和结肠黏膜病理损伤均有修复作用(图4)。

图4. MD大鼠肠道组织的病理学形态改变(HE,×400)。(A)十二指肠病理图片(a-e分别为control、model、Piracetam、DYP-L组和DYP-H组);(B)结肠上皮的病理图片(a-e分别代表control、model、Piracetam、DYP-L组和DYP-H组)
06 肠道菌群α-多样性和β-多样性分析
根据肠道菌群α-多样性分析可知,各组大鼠在诱发MD后肠道菌群多样性和丰度均升高,且吡拉西坦组持续升高。代谢组学分享,同时,发现DYP对MD大鼠肠道菌群丰度具有双向调节作用。DYP-L增加了大鼠肠道菌群的丰度,而DYP-H使肠道菌群丰度降低至正常水平。β-Diversity分析反映了不同组间样品菌群结构的显著差异。
07 肠道菌群组成分析
如图5A所示,在门水平上,厚壁菌门、拟杆菌门、螺旋体门和变形菌门为优势菌。MD大鼠肠道菌群组成与对照组差异较大,厚壁菌门增多,拟杆菌门减少。DYP-H能显著降低厚壁菌门水平,显著或极显著增加拟杆菌门水平。如图B所示,在属水平上,乳酸菌和普雷沃氏菌为优势菌属。代谢组学分享,与对照组相比,模型组乳酸菌比例显著升高,普雷沃氏菌比例显著降低。
吡拉西坦和DYP-L组中,乳酸菌比例显著降低,普雷沃氏菌比例保持不变。DYP-H对降低乳酸菌和增加普雷沃氏菌有较好的调节作用。结果表明,DYP可通过调节肠道菌群组成,在一定程度上恢复MD大鼠肠道菌群失调状态。

图5. 相对丰度最高的10个细菌群落。(A)门水平;(B)属水平
08 微生物种类的线性判别分析
如图6所示,厚壁菌门是DYP-H组的标志菌群,这显著影响了DYP-H组与其他组的差异,表明DYP-H能改善MD大鼠肠道菌群结构,增加厚壁菌门含量。

图6. 标记区系的LEfSe分析。(A)不同物种的进化分支;(B)不同物种的LDA分布
09 肠道菌群组成和血清生化指标的相关性分析
选取前10个高丰度菌属和4个血清生化因子MCP-1、NF-L、NSE和TNF-α进行Pearson相关分析。代谢组学分享,如图11所示,MCP-1与乳杆菌呈高度正相关趋势,与苏黎世杆菌及Prevotellaceae_Ga6A1_group呈高度负相关趋势。NF-L的表达与普雷沃氏菌呈高度负相关趋势,而TNF-α的表达与普雷沃氏菌呈高度正相关趋势。
由此表明乳酸菌、苏黎世杆菌、普雷沃氏菌和Prevotellaceae_Ga6A1_group与MD的发生发展密切相关。DYP可能通过调节这些细菌属发挥改善记忆的作用,具体机制有待进一步研究。

图7. 大鼠血清生化因子表达与肠道菌群属水平的相关性分析
10 肠道菌群功能分析
根据16s rRNA测序数据进行KEGG功能注释,得到KEGG各功能水平OTUs的注释信息以及不同样本中各功能的丰度信息(图8)。为了进行综合比较,在Level 2选择了基因相对丰度较高的前5个功能,在Level 3统计了它们的功能注释信息,筛选出了几个相对丰度较高的功能。代谢组学分享,结果表明,在Level 3(图9),肠道菌群主要影响氨基酰基-tRNA生物合成、核糖体、糖酵解/糖异生、线粒体生物生成和丙酮酸代谢的功能。

图8. Level 2肠道菌群KEGG分析

图9. Level 3肠道菌群KEGG分析
百趣代谢组学分享-结论
采用Morris水迷宫和16S rRNA菌群测序等技术对MD动物模型进行研究,探讨DYP的调节机制。D-Gal和三氯.化.铝诱导后,MD大鼠的学习和空间记忆能力明显下降,并伴有体重增加和肠道菌群紊乱。
代谢组学分享,DYP可通过恢复肠道菌群紊乱和恢复与认知密切相关的异常血清生化指标,改善MD大鼠的学习和空间记忆能力。这提示DYP的存在可通过“菌-肠-脑”轴提高MD大鼠的学习记忆能力。但DYP的具体调控机制还有待进一步研究。