13 年
手机商铺
公司新闻/正文
254 人阅读发布时间:2025-07-11 13:35

在生命科学研究领域,血液蛋白质组研究始终占据着至关重要的地位。血液,宛如人体的 “生命之河”,其中蕴含的蛋白质恰似河流中的“宝藏”,它们广泛参与人体各项生理过程,从免疫防御、物质运输,到信号传导、代谢调节,几乎无处不在。
血液中的蛋白质主要可分为以下几类:
功能蛋白:包括人血清白蛋白、载脂蛋白、凝血级联反应相关蛋白;
组织渗漏蛋白:多为低水平的组织特异性蛋白,如用于诊断肝脏疾病的天冬氨酸氨基转移酶(Aspartate Aminotransferase, ASAT),以及心脏肌钙蛋白等。
信号分子:如胰岛素等蛋白激素、细胞因子,稳态时含量通常较低,发挥信号传递作用。

图片源自Geyer et al., Mol Syst Biol. 2017
血液蛋白冠-DIA
对血液蛋白质组的深入研究,有助于我们揭示疾病的发生发展机制,发现新的生物标志物用于疾病的早期诊断,以及开发更有效的治疗靶点。然而,这条探索之路并非一帆风顺,血液蛋白质组研究面临着诸多难点与痛点。
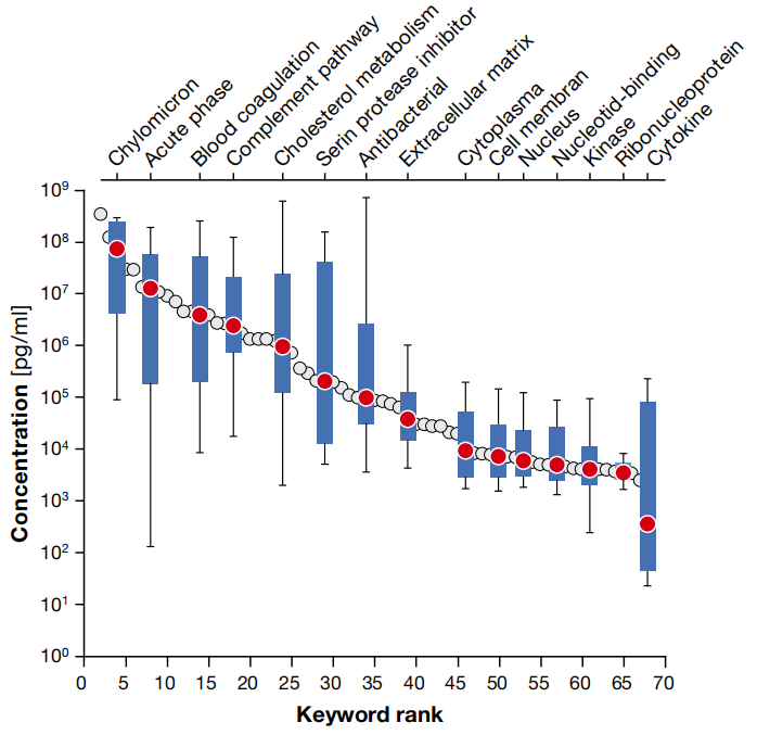
1.血液中高丰度蛋白占比极高,如血清白蛋白约占全部蛋白含量的50%,前22种蛋白集合占99%,而低丰度蛋白虽种类上万但占比不到1%(Geyer et al., 2017)。如下图所示,血液蛋白质含量数量级跨度大,可达10个数量级,蛋白含量高低差异悬殊,远大于质谱检测动态范围(4-6个数量级),传统方法难以兼顾。

图片源自Geyer et al., Mol Syst Biol. 2017
2.血液蛋白排名前300的蛋白中已发现了70种不同疾病的biomarker,而300名之后的低丰度蛋白中也发现了47种biomarker,这表明血液的低丰度蛋白是未来发现潜在疾病biomarker的巨大宝库,但目前发现的数量较少,对低丰度蛋白中潜在生物标志物的挖掘存在较大困难。

图片源自Geyer et al., Mol Syst Biol. 2017
专利磁珠D1
在血液蛋白质组研究的艰难征程中,高丰度蛋白占据主导地位、蛋白含量跨度大、低丰度生物标志物挖掘困难等困境长期阻碍着科研探索的脚步。面对重重挑战,百趣生物迎难而上,依托深厚的技术底蕴与持续的创新探索,成功研发出专利磁珠D1,为这一领域开辟出全新路径。


技术优势一:检出蛋白数量多
基于纳米材料表面修饰技术,将纳米颗粒与血清/血浆样本共孵育,利用特异性亲和力实现低丰度蛋白富集,形成蛋白冠结构。结合高灵敏度Astral质谱仪,采用数据非依赖采集(DIA)模式,对样本进行深度蛋白质组学分析。以百趣生物实际项目经验为例,在人血浆样本检测中,使用D1磁珠最多检测出5900+种蛋白质,充分展现出卓越的检测能力和对蛋白质的高捕获效率。

技术优势二:蛋白检出稳定性高
在血液蛋白质组检测过程中,若一味追求蛋白数值的绝对值,而忽视蛋白检出率,很容易导致数据可靠性大打折扣。要知道,样本中一旦出现大量未检出值,就会严重损害数据的完整性。而D1磁珠凭借对磁珠与蛋白质结合方式的优化,显著提升了结合稳定性与特异性,能有效降低空值出现的概率,让检测结果更精准、更稳定。根据百趣生物项目经验,不同批次间(A组和B组)、批次内生物学重复(A1、A2、A3),其蛋白检出重复性均为80%以上。


技术优势三:功能性指标检出丰富
血液中的蛋白质种类丰富多样,功能各不相同。百趣生物研发的D1磁珠,凭借创新的分离富集技术,在结合功能性蛋白方面展现出卓越的普适性。经质谱验证,它能够检出覆盖1600种以上,在心脏代谢、炎症、神经学、肿瘤学方面的关键指标,比如MYH7、TNNT2、ChAT、MAPT等明星指标在血液样本中均稳定检出。

为推进血液蛋白质组研究,百趣生物推出血液蛋白冠-DIA Pro 1X解决方案。采用DIA采集数据,通过全自动化前处理工作站减少人工误差,实现样本标准化处理;搭配自研专利磁珠D1,有效富集血液中难检测的中低丰度蛋白,让检测结果更全面。无论是研究疾病病因,还是寻找生物标志物,该解决方案凭借稳定、准确、高效的优势,为科研和临床应用提供关键技术支持。
1.技术路线

2.仪器


3.送样量

百趣自研专利磁珠D1惊艳登场,搭配血液蛋白冠-DIA Pro 1X解决方案,为血液蛋白质组研究开启全新篇章!无论是科研探索,还是临床应用,这里都可能藏着您一直在寻找的突破点。想深入了解?别犹豫!联系当地销售工程师,或是直接后台留言,即可免费获取demo报告,开启您的科研新旅程!

参考文献:
Geyer PE, Holdt LM, Teupser D, Mann M. Revisiting biomarker discovery by plasma proteomics. Mol Syst Biol. 2017 Sep 26;13(9):942. doi: 10.15252/msb.20156297. PMID: 28951502; PMCID: PMC5615924.